Tim Anderson.
Ilustración: Arwa Makki para Al Mayadeen English
02 de marzo 2024.
Dada la incapacidad de la Autoridad Palestina (AP), controlada por Fatah, de frenar siquiera el ritmo del robo de tierras y la limpieza étnica en Cisjordania, o de romper el asedio a Gaza, la opinión pública palestina se ha vuelto contra la AP y más favorable a la Resistencia.
Circulan varias teorías sobre la capacidad de la resistencia armada palestina y aliada, a medida que avanza la matanza israelí de civiles en represalia en Gaza. La información recogida por la cadena iraní Press TV para el mes de febrero de 2024 nos permite tener una mejor perspectiva. En general, a pesar de los bombardeos genocidas y el asedio ampliamente denunciados, hay pocos indicios de que la actividad de la Resistencia de Gaza esté disminuyendo.
Press TV enumera diariamente las actividades de la Resistencia, con breves descripciones de cada una de ellas. La lista incluye acciones de resistencia regional de Hezbolá (Líbano), la Resistencia Islámica en Irak y las fuerzas armadas yemeníes (llamadas «los Houthis» por los gobiernos y medios de comunicación occidentales, que no quieren reconocer al gobierno revolucionario de Yemen).
La mayor parte de la actividad de la resistencia palestina que figura en la lista se desarrolla en Gaza, la actividad de Hezbolá se desarrolla en las partes septentrionales de la Palestina ocupada, así como en partes del Líbano ocupado y Siria.
Los detalles de los listados nos permiten hacernos una idea aproximada de qué actividades implicaban armas pesadas, como artillería de 100 mm o superior, o cohetes pesados (por ejemplo, cohetes pesados Katyushas, Falaq y Burkan) y drones de largo alcance. Sin embargo, esta información es insuficiente.
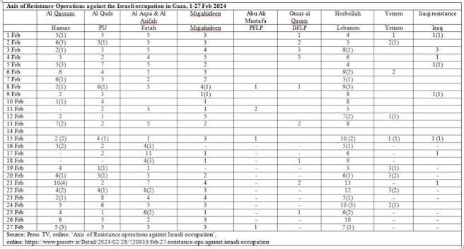
Puestos en forma numérica, los datos brutos (1-27 de febrero de 2024) aparecen en el gráfico siguiente. Corresponden principalmente a las milicias de seis facciones de la Resistencia palestina: Al-Qassam (Hamás), Al-Quds (Yihad Islámica Palestina), Al-Aqsa y Al-Asifah (ambas de Fatah), Muyahidines, Abu Ali Mustafa (FPLP) y Omar al-Qasim (FDLP). También aparecen datos sobre Hezbolá, la Resistencia Islámica de Irak y las fuerzas armadas yemeníes.
Los puntos clave que pueden extraerse de estos datos son los siguientes:
- Los rumores de que el brazo armado de Hamás (Al Qassam) ha sido diezmado son falsos. Al Qassam llevó a cabo múltiples operaciones la mayoría de los días de febrero y 88 en total, muchas de ellas con armas pesadas como proyectiles 105 y 107. Un tercio de sus operaciones tuvieron lugar en la última semana de febrero.
- Hamás no está ni mucho menos solo. Hubo casi el mismo número de operaciones por parte de Al-Quds (PIJ) y las Brigadas Al-Aqsa y Al Asifah (Fatah): 90 y 81 respectivamente. Sin embargo, parece que Al-Qassam pudo haber utilizado más armas pesadas. En total, Al-Qassam representó aproximadamente una cuarta parte de las operaciones combinadas de la Resistencia palestina. Todo esto hace aún más ilusorio el supuesto objetivo israelí de eliminar a «Hamás».
- Es notable que la milicia de Fatah (el partido dominante de la OLP y de la Autoridad Palestina: AP) sea muy activa en la resistencia armada, dado que la OLP dirigida por Fatah «reconoce» a «Israel» y el prestigio de la AP dominada por Fatah está bajo mínimos, dado su papel colaboracionista en las últimas décadas. Los grupos de resistencia de Fatah (principalmente las Brigadas Al-Aqsa, pero también Al-Asifah) pueden estar reivindicando en cierta medida al partido, a los ojos del pueblo palestino.
- Hezbolá es la fuerza más activa que se impone al ejército israelí, con 202 operaciones en febrero. Hezbolá no opera en el teatro de operaciones de Gaza, pero sin duda está alejando de Gaza a una parte sustancial del ejército israelí. Las descripciones de Press TV no permiten analizar demasiado las armas utilizadas, pero muchas han incluido armamento pesado. Es bien sabido que Hezbolá dispone de armas pesadas y que gran parte de su arsenal de misiles permanece en reserva.
- No hay indicios reales de que la resistencia armada flaquee. Las milicias Al-Qassam, Al-Quds, Al-Aqsa y Hezbolá realizaron más operaciones en la segunda quincena de febrero que en la primera. Por supuesto, esto ha tenido un coste. Hezbolá informó el 27 de febrero de que había perdido 209 combatientes en la ronda actual. Sin embargo, como muestran los datos, sus operaciones tampoco se están ralentizando.
- Grupos de resistencia más pequeños vinculados al FPLP (Abu Ali Mustafa) y al FDLP (Omar al-Qasim) llevaron a cabo otras 21 operaciones en febrero. También se registraron dos operaciones de las Brigadas Nasser Salah al-Din (el 21 y el 22 de febrero).

Dada la incapacidad de la Autoridad Palestina (AP), controlada por Fatah, de frenar siquiera el ritmo del robo de tierras y la limpieza étnica en Cisjordania, o de romper el asedio a Gaza, la opinión pública Palestina se ha vuelto contra la AP y se ha vuelto más favorable a la Resistencia. En noviembre-diciembre de 2023, la mayoría de los encuestados (72%; 82% en Cisjordania y 57% en la Franja de Gaza) apoyaban la ofensiva del 7 de octubre. El 95% cree que los israelíes cometieron crímenes de guerra en sus ataques contra Gaza; mientras que sólo el 10% cree que Hamás cometió crímenes de guerra.
Las dos opciones más populares para el futuro gobierno de Gaza eran Hamás (60%) o un gobierno de Unidad Palestina que excluyera al «Presidente» de la AP Mahmoud Abbas (16%). Otra encuesta reciente mostró que el 79% de los palestinos cree que el «presidente» no electo Mahmud Abbas debería dimitir. La AP, dirigida por Fatah, no se ha enfrentado a unas elecciones desde 2006, cuando perdió frente a Hamás. Sin embargo, apuntalados por la financiación de Washington, la UE y algunas monarquías árabes, Abbas y la AP siguen presentándose como los gobernantes municipales de los territorios palestinos ocupados. Las encuestas dicen que el 80% en Cisjordania y el 61% en la Franja de Gaza creen que Hamás conseguirá volver a gobernar la Franja de Gaza a pesar de las operaciones israelíes.
Por otro lado, Washington ha estado intentando remodelar la AP y utilizarla como herramienta para controlar Gaza, una vez que finalicen los bombardeos propiciados por Estados Unidos. De ahí la dimisión de todo el Gabinete de la AP, bajo presión estadounidense, pero no la de la figura más impopular, Mahmud Abbas. Exigir una conformidad aún mayor con los israelíes difícilmente añadirá legitimidad a Abbas o a la AP, a los ojos de la población palestina.
La Resistencia está aquí para quedarse, y con un apoyo popular aún mayor.
Traducción nuestra
*Tim Anderson es director del Centro de Estudios Contrahegemónicos con sede en Sídney, Australia.
Fuente original: Al Mayadeen English
